产品类别
标签
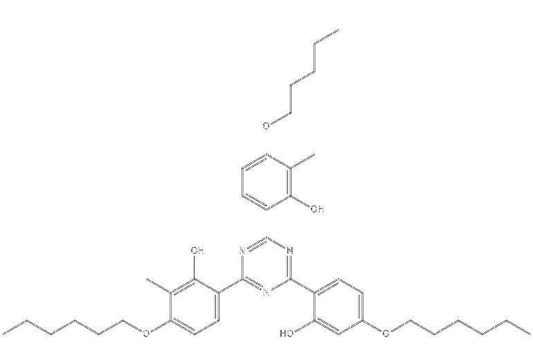
简介:
紫外线吸收剂UV 70(LOTSORB®UV 70)是三嗪改性类紫外线吸收剂,吸收波长可以红移,吸收性能优于LOTSORB®UV 1577, LOTSORB®UV 1164, 推荐用于有较高耐候要求的薄膜制品以及高端工业涂料。
CAS No.[222529-65-9]
C42H57N3O6

指标:
外观:黄色粉末
纯度:98%以上 (HPLC)
包装与存储:
20公斤/箱
将产品存放在阴凉、干燥、通风良好的地方,远离不相容的材料。
除非另有说明,否则适当的储存将允许产品自制造之日起使用12个月。
有关其他处理和毒理学信息,请参阅材料安全数据表。
联系我们