产品类别
标签
简介
LOTSORB® UV 360是一种挥发性低的苯并三唑紫外线吸收剂,用于各种聚合物和树脂组合物。
化学名称:
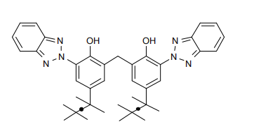
2,2'-亚甲基双[6-(苯并三唑-2-基)-4-叔辛基苯酚]
CAS number
103597-45-1
化学结构:

分子量:
659 g/mol
用途:
Lotosrb®UV 360应用包括丙烯酸树脂、聚对苯二甲酸亚烷基酯、聚碳酸酯、改性聚苯醚或硫化物、聚酰胺、聚缩醛、聚烯烃、苯乙烯、弹性体和高性能塑料。
特性:
Lotosrb®UV 360特别适用于需要高负载、低挥发性和良好兼容性的加工和老化条件。
具体目标是实现高紫外线屏蔽性能,最大限度地减少通过通风口的升华,并防止在模具、冷却辊或校准器上沉积。
它可以防止在制造过程中或暴露在高温下时端部零件渗出/结晶。
这些要求对于复杂的模制品、纤维、片材、双壁片材、薄膜、粘合剂层和层压或共挤半成品尤为重要。
物理性能:
| 熔点 | 195 ℃ |
| 闪点 | >200 ℃ |
| 密度 | 1.2 g/cm3 |
| Vapor Pressure (25 ℃) | 6 E-13 Pa |
| 溶解性(20 ℃ ) | % w/w |
| Water | <0.001 |
| Acetone | 0.01 |
| Chloroform | 10 |
| Ethanol | 0.01 |
| Ethyl acetate | 0.01 |
| n-Hexane | 0.01 |
| Methylene chloride | 7.5 |
| Toluene | 3.4 |
| Volatility | 热失重 |
| Weight Loss (%) | Temperature o C |
| 1.0 | 333 |
| 2.0 | 350 |
UV 吸收图谱 (10 mg/l, Chloroform)

Lotosrb®UV 360在光谱的300-400nm区域表现出很强的吸光度,在可见光区域(>400nm)表现出最小的吸光度。在氯仿溶液中,最大吸收波长为308 nm和349 nm(e=31895 l/mol·cm)
Registration
UV 360 is listed on the following Inventories:
Australia: AICS
China: First Import
Europe: ELINCS
Japan: MITI
Korea: ECL
USA: TSCA
包装与存储:
25公斤/箱
将产品存放在阴凉、干燥、通风良好的地方,远离不相容的材料。
除非另有说明,否则适当的储存将允许产品自制造之日起使用12个月。
有关其他处理和毒理学信息,请参阅材料安全数据表。
联系我们