产品类别
标签
简介:
光稳定剂LS 944是高分子量受阻胺光稳定剂(HALS)。它显示出优异的相容性、良好的抗萃取性和低挥发性。
化学名称:
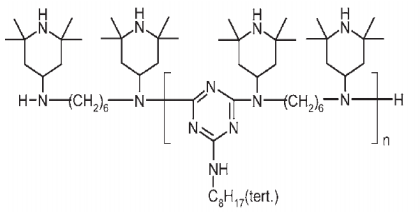
聚[[6-[(1,1,3,3-四甲基丁基)氨基]-1,3,5-三嗪-2,4-二基][(2,2,6,6-四甲基-4-哌啶基)亚氨基]-1,6-己二基[(2,2,6,6-四甲基-4-哌啶基)亚氨]]
CAS number
71878-19-8
化学结构:

分子量:
Mn = 2000 – 3100 g/mol
用途:
光稳定剂LS 944多用于在低密度聚乙烯薄膜、聚丙烯纤维、聚丙烯胶带、EVA薄膜、ABS、聚苯乙烯及食品包装中,以提高塑料制品的稳定性。
光稳定剂LS 944 是聚合型高效受阻胺类光稳定剂,低挥发,低迁移,具有热稳定效果和抗氧效果,与抗氧剂和紫外线吸收剂有协同作用。
可应用在聚烯烃、烯烃共聚物、还可用于聚苯醚复合物、聚甲醛、酰氨酯、软硬PVC及PVC共混物等。
推荐用量:
纤维 UV Stabilization of PP 0.1 – 1.4 %
胶带 UV Stabilization of PP and HDPE 0.10 – 0.8%
厚制品 UV Stabilization of HDPE, LLDPE, 0.05 – 1.0%
LDPE and PP
薄膜 UV Stabilization of LLDPE and LDPE 0.1 – 1.0 %
物理性能:
熔点: 100-135 °C
比重 (20°C) 1.01 g/cm3
溶解性 (20°C) %W/W
Acetone > 50
Chloroform > 30
Ethanol < 0.1
Ethyl acetate > 50
n-Hexane 41
Methanol 3
Dichloromethane > 50
Toluene > 50
Water < 0.01
热失重:
Temperature (°C) Weight loss (%)
250 0
275 0.2
300 1.0
325 3.7
350 9.4
包装与存储:
25公斤/箱
将产品存放在阴凉、干燥、通风良好的地方,远离不相容的材料。
除非另有说明,否则适当的储存将允许产品自制造之日起使用12个月。
有关其他处理和毒理学信息,请参阅材料安全数据表。
联系我们