产品类别
标签
简介:
光稳定剂791是LOTSORB®UV 944和光稳定剂770的协同混合物。它是一种出色的光稳定剂,尤其适用于PP厚型材,可提供出色的表面保护。它在PP胶带中也显示出很高的稳定效率。
光稳定剂944

分子量:
Mn = 2000 – 3100 g/mol
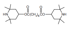
光稳定剂770

用途:
光稳定剂791的应用领域是PP、聚丙烯与弹性体和PA的共混物:它也可用于苯乙烯聚合物,如ABS、抗冲聚苯乙烯等。
特点/优点
光稳定剂791是一种适用于厚型材的优秀紫外线稳定剂,如汽车保险杠、仪表板、花园家具等。光稳定剂791的高分子量和低分子量HALS组分之间的协同作用保证了对聚合物的最大保护,使其免受紫外线辐射和长期热暴露的降解。
推荐用量:
厚制品*: UV stabilization of PP 0.1 – 0.8%
胶带: UV stabilization of PP 0.1 – 0.8%
包装与存储:
25公斤/箱
将产品存放在阴凉、干燥、通风良好的地方,远离不相容的材料。
除非另有说明,否则适当的储存将允许产品自制造之日起使用12个月。
有关其他处理和毒理学信息,请参阅材料安全数据表。
联系我们