产品类别
标签
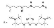
化学名称:
N,N-1,2-乙二基二[N-[3-[[4,6-二[丁基(1,2,2,6,6-五甲基-4-哌啶基)氨基]-1,3,5-三嗪-Chemicalbook2-基]氨基]丙基]-N,N-二丁基-N,N-二(1,2,2,6,6-五甲基-4-哌啶基)-1,3,5-三嗪-2,4,6-三胺
分子式:
C132H250N32
分子量:
2285.6
CAS#
106990-43-6

物理性能:
外观:淡黄色颗粒
熔点: 115 – 150℃
挥发份: ≤0.5%
透光率: 425nm ≥93%
450nm ≥95%
灰分: ≤0.1%
用途:
>HALS 119可用于聚烯烃的光稳定,特别是聚丙烯纤维和聚乙烯基农用薄膜
>HALS 119与农用化学品的相互作用比传统HALS少,从而提高了农用薄膜的性能
>建议的浓度范围为0.1%至1.0%,具体取决于基材、加工条件和应用。
包装与存储:
25公斤/箱
将产品存放在阴凉、干燥、通风良好的地方,远离不相容的材料。
除非另有说明,否则适当的储存将允许产品自制造之日起使用12个月。
有关其他处理和毒理学信息,请参阅材料安全数据表。
联系我们