产品类别
标签
简介:
Lotnox 697金属减活剂是一种独特的抗氧化剂,在同一产品中具有金属减活功能。本产品可用于有金属离子干扰的地方,如残留的聚合物催化剂、无机颜料或矿物填充聚合物。它的独特之处还在于,它受美国食品药品监督管理局监管,可用于大多数聚合物。这种材料可用于各种聚烯烃和聚苯乙烯树脂。
性能:
Lotnox 697是一种立体异构的酚类抗氧化剂和金属减活剂。
它是一种不变色、不染色的抗氧化剂和热稳定剂,具有出色的金属失活性能。
通常用于电线电缆绝缘、薄膜和片材制造以及汽车零件。
化学名称:
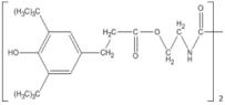
(3,5-二叔丁基-4-羟基苯基)丙酸草酰(二亚氨基-2,1-亚乙基酯)
CAS No.[70331-94-1]

物理性能:
| 外观 | 白色粉末/颗粒 |
| 纯度 | ≥99% |
| 熔点 | 174-180°C |
| 澄清度 | 澄清 |
| 灰分 | ≤0.1% |
| 挥发分 | ≤0.5% |
| 透光率@425nm | ≥97% |
| 透光率@500nm | ≥98% |
包装与存储:
25公斤/箱
将产品存放在阴凉、干燥、通风良好的地方,远离不相容的材料。
除非另有说明,否则适当的储存将允许产品自制造之日起使用12个月。
有关其他处理和毒理学信息,请参阅材料安全数据表。
联系我们